
Exploratory Data Analysis (EDA) is the initial and an important phase of data analysis/predictive modeling. During this process, analysts/modelers will have a first look of the data, and thus generate relevant hypotheses and decide next steps. However, the EDA process could be a hassle at times. This R package aims to automate most of data handling and visualization, so that users could focus on studying the data and extracting insights.
The package can be installed directly from CRAN.
install.packages("DataExplorer")However, the latest stable version (if any) could be found on GitHub, and
installed using devtools package.
if (!require(devtools)) install.packages("devtools")
devtools::install_github("boxuancui/DataExplorer")If you would like to install the latest development version, you may install the develop branch.
if (!require(devtools)) install.packages("devtools")
devtools::install_github("boxuancui/DataExplorer", ref = "develop")The package is extremely easy to use. Almost everything could be done in one line of code. Please refer to the package manuals for more information. You may also find the package vignettes here.
To get a report for the airquality dataset:
library(DataExplorer)
create_report(airquality)To get a report for the diamonds dataset with response variable price:
library(ggplot2)
create_report(diamonds, y = "price")Instead of running create_report, you may also run each
function individually for your analysis, e.g.,
## View basic description for airquality data
introduce(airquality)| rows | 153 |
| columns | 6 |
| discrete_columns | 0 |
| continuous_columns | 6 |
| all_missing_columns | 0 |
| total_missing_values | 44 |
| complete_rows | 111 |
| total_observations | 918 |
| memory_usage | 6,376 |
## Plot basic description for airquality data
plot_intro(airquality)
## View missing value distribution for airquality data
plot_missing(airquality)
## Left: frequency distribution of all discrete variables
plot_bar(diamonds)
## Right: `price` distribution of all discrete variables
plot_bar(diamonds, with = "price")
## View frequency distribution by a discrete variable
plot_bar(diamonds, by = "cut")
## View histogram of all continuous variables
plot_histogram(diamonds)
## View estimated density distribution of all continuous variables
plot_density(diamonds)
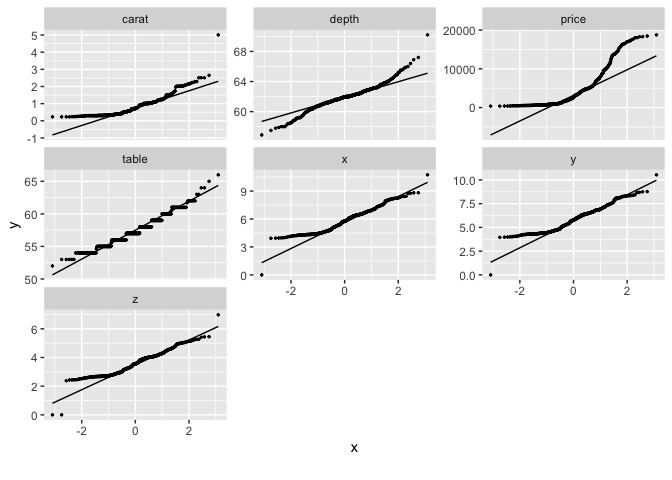
## View quantile-quantile plot of all continuous variables
plot_qq(diamonds)
## View quantile-quantile plot of all continuous variables by feature `cut`
plot_qq(diamonds, by = "cut")
## View overall correlation heatmap
plot_correlation(diamonds)
## View bivariate continuous distribution based on `cut`
plot_boxplot(diamonds, by = "cut")
## Scatterplot `price` with all other continuous features
plot_scatterplot(split_columns(diamonds)$continuous, by = "price", sampled_rows = 1000L)
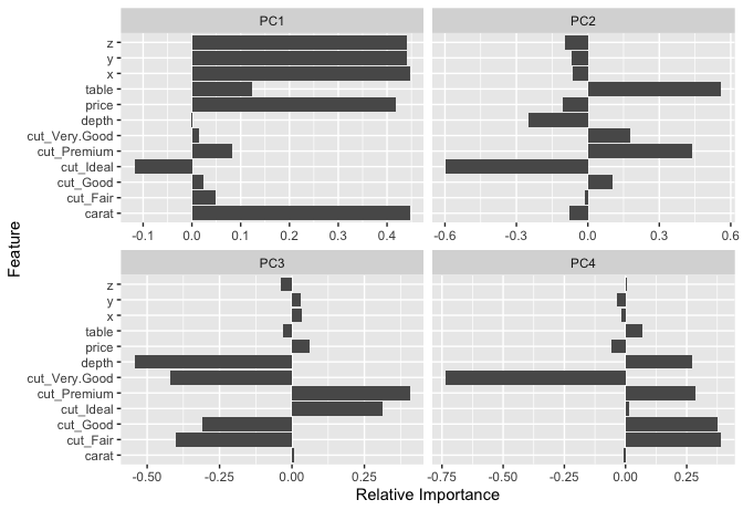
## Visualize principal component analysis
plot_prcomp(diamonds, maxcat = 5L)#> 2 features with more than 5 categories ignored!
#> color: 7 categories
#> clarity: 8 categories


To make quick updates to your data:
## Group bottom 20% `clarity` by frequency
group_category(diamonds, feature = "clarity", threshold = 0.2, update = TRUE)
## Group bottom 20% `clarity` by `price`
group_category(diamonds, feature = "clarity", threshold = 0.2, measure = "price", update = TRUE)
## Dummify diamonds dataset
dummify(diamonds)
dummify(diamonds, select = "cut")
## Set values for missing observations
df <- data.frame("a" = rnorm(260), "b" = rep(letters, 10))
df[sample.int(260, 50), ] <- NA
set_missing(df, list(0L, "unknown"))
## Update columns
update_columns(airquality, c("Month", "Day"), as.factor)
update_columns(airquality, 1L, function(x) x^2)
## Drop columns
drop_columns(diamonds, 8:10)
drop_columns(diamonds, "clarity")See article wiki page.